Differential calculus 2 Notes
DERIVATIVES OF EXPONENTIAL AND LOGARITHMIC FUNCTIONS
Derivative of exponential function y=ex
The slope of the graph of y=𝑒𝑥 exactly equals the height at every point along the curve.

Hence, the derivative/gradient/slope of this function, equals the function itself. 𝒅(𝒆𝒙 )/𝒅𝒙 = 𝒆𝒙
Derivative of natural logarithm function y = lnx

The slope of the tangent of y=ln x at x=2 is ½ . (We can observe this from the graph, by looking at the ratio rise/run)
If y=ln x
x | 1 | 2 | 3 | 4 | 5 |
Slope of graph | 1 | 1/2 | 1/3 | 1/4 | 1/5 |
1/x | 1 | 1/2 | 1/3 | 1/4 | 1/5 |
We see that the slope of the graph for each value of x is equal to 1/x. (for all x>0)
If we did more iterations, we can conclude that derivative of logarithm function y=ln x is: d(lnx)/dx = 1/x
Ex. Find the derivative of the following:
- y=7-2𝑒𝑥
- y=2𝑒𝑥-3lnx
- y=𝑒𝑥–cos x
Solution:
- 𝑦′ = 𝑑(7 − 2𝑒𝑥)/𝑑𝑥
𝑦′ = 𝑑(7)/𝑑𝑥 + 𝑑(−2𝑒𝑥)/𝑑𝑥
𝑦′ = 0 − 2 𝑑(𝑒𝑥)/𝑑𝑥
𝒚′ = −𝟐𝒆𝒙 - 𝑦′ = 𝑑(2𝑒𝑥 − 3 ln𝑥)/𝑑𝑥
𝑦′ = 𝑑(2𝑒𝑥)/𝑑𝑥 + 𝑑(−3 ln𝑥)/𝑑𝑥
𝑦′ = 2 𝑑(𝑒𝑥)/𝑑𝑥 − 3 𝑑(ln 𝑥)/𝑑𝑥
𝑦′ = 2𝑒𝑥− 3/𝑥


THE CHAIN RULE
The chain rule tells us how to find the derivative of a composite function.
Suppose we have two functions, f(x) and g(x):
- f(x)=f o g(x) then the derivative of F(x) is,

- y=f(u) and u=g(x) then the derivative of y is, 𝒅𝒚/𝒅𝒙 = (𝒅𝒚/𝒅𝒖) × (𝒅𝒖/𝒅𝒙)
Ex. Find the derivative of the following:
- y=cos (x2)
- 𝑦 = √5𝑥2 − 3𝑥
- y = 1/(x2+2x)
- y=ln (3-2x)
Solution: 1. y=cos (x2)
u=x2
𝑑𝑦/𝑑𝑢 = − sin(𝑥2 )
𝑑𝑢/𝑑𝑥 = 2𝑥
𝑦′ = 𝑑𝑦/𝑑𝑥 = 𝑑𝑦/𝑑𝑢 × 𝑑𝑢/𝑑𝑥
𝑦′ = − sin(𝑥2 ) × 2𝑥
𝑦 ′ = −2𝑥 sin(𝑥2 )
Shortcut :
𝑦 ′ = (𝑑𝑒𝑟𝑖𝑣𝑎𝑡𝑖𝑣𝑒 𝑜𝑓 𝑜𝑢𝑡𝑒𝑟 𝑓𝑢𝑛𝑐𝑡𝑖𝑜𝑛 𝑤𝑖𝑡ℎ 𝑟𝑒𝑠𝑝𝑒𝑐𝑡 𝑡𝑜 𝑖𝑛𝑛𝑒𝑟 𝑓𝑢𝑛𝑐𝑡𝑖𝑜𝑛) × (𝑑𝑒𝑟𝑖𝑣𝑎𝑡𝑖𝑣𝑒 𝑜𝑓 𝑖𝑛𝑛𝑒𝑟 𝑓𝑢𝑛𝑐𝑡𝑖𝑜𝑛 𝑤𝑖𝑡ℎ 𝑟𝑒𝑠𝑝𝑒𝑐𝑡 𝑡𝑜 𝑣𝑎𝑟𝑖𝑎𝑏𝑙𝑒)
𝑦 = − sin(𝑥2 ) × 2𝑥
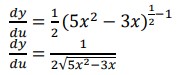
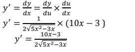
2. 𝑦 = √5𝑥2−3𝑥
𝑢 = 5𝑥2 − 3𝑥
𝑑𝑢/𝑑𝑥 = 10𝑥 − 3
Shortcut:
𝑦′ = (𝑑𝑒𝑟𝑖𝑣𝑎𝑡𝑖𝑣𝑒 𝑜𝑓 𝑜𝑢𝑡𝑒𝑟 𝑓𝑢𝑛𝑐𝑡𝑖𝑜𝑛 𝑤𝑖𝑡ℎ 𝑟𝑒𝑠𝑝𝑒𝑐𝑡 𝑡𝑜 𝑖𝑛𝑛𝑒𝑟 𝑓𝑢𝑛𝑐𝑡𝑖𝑜𝑛) × (𝑑𝑒𝑟𝑖𝑣𝑎𝑡𝑖𝑣𝑒 𝑜𝑓 𝑖𝑛𝑛𝑒𝑟 𝑓𝑢𝑛𝑐𝑡𝑖𝑜𝑛 𝑤𝑖𝑡ℎ 𝑟𝑒𝑠𝑝𝑒𝑐𝑡 𝑡𝑜 𝑣𝑎𝑟𝑖𝑎𝑏𝑙𝑒)
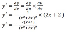
c. 𝑦 = 1/𝑥2+2𝑥
𝑢 = 𝑥2 + 2𝑥
𝑑𝑦/𝑑𝑢 = −1(𝑥2 + 2𝑥 )−2
𝑑𝑦/𝑑𝑢 = − 1 (𝑥2+2𝑥 )/2
𝑑𝑢/𝑑𝑥 = 𝑑 (𝑥 2 + 2𝑥)/𝑑𝑥
𝑑𝑢/𝑑𝑥 = 2𝑥 + 2
Shortcut:
𝑦 ′ = (𝑑𝑒𝑟𝑖𝑣𝑎𝑡𝑖𝑣𝑒 𝑜𝑓 𝑜𝑢𝑡𝑒𝑟 𝑓𝑢𝑛𝑐𝑡𝑖𝑜𝑛 𝑤𝑖𝑡ℎ 𝑟𝑒𝑠𝑝𝑒𝑐𝑡 𝑡𝑜 𝑖𝑛𝑛𝑒𝑟 𝑓𝑢𝑛𝑐𝑡𝑖𝑜𝑛) × (𝑑𝑒𝑟𝑖𝑣𝑎𝑡𝑖𝑣𝑒 𝑜𝑓 𝑖𝑛𝑛𝑒𝑟 𝑓𝑢𝑛𝑐𝑡𝑖𝑜𝑛 𝑤𝑖𝑡ℎ 𝑟𝑒𝑠𝑝𝑒𝑐𝑡 𝑡𝑜 𝑣𝑎𝑟𝑖𝑎𝑏𝑙𝑒)
𝑦 ′ = (− 1/(𝑥 2+2𝑥 )2) × (2𝑥 + 2)
𝒚 ′ = − 𝟐(𝒙+𝟏)/(𝒙 𝟐+𝟐𝒙 )𝟐
d. y=ln (3-2x)
u=3-2x
𝑑𝑦/𝑑𝑢 = 1 3−2𝑥
𝑑𝑢/𝑑𝑥 = 0 − 2 = −2
𝑦 ′ = 𝑑𝑦/𝑑𝑥 = 𝑑𝑦/𝑑𝑢 × 𝑑𝑢/𝑑𝑥
𝑦 ′ = 1/(3−2𝑥) × (−2)
𝑦′ = − 2/(3−2𝑥)
Shortcut:
𝑦′ = (𝑑𝑒𝑟𝑖𝑣𝑎𝑡𝑖𝑣𝑒 𝑜𝑓 𝑜𝑢𝑡𝑒𝑟 𝑓𝑢𝑛𝑐𝑡𝑖𝑜𝑛 𝑤𝑖𝑡ℎ 𝑟𝑒𝑠𝑝𝑒𝑐𝑡 𝑡𝑜 𝑖𝑛𝑛𝑒𝑟 𝑓𝑢𝑛𝑐𝑡𝑖𝑜𝑛) × (𝑑𝑒𝑟𝑖𝑣𝑎𝑡𝑖𝑣𝑒 𝑜𝑓 𝑖𝑛𝑛𝑒𝑟 𝑓𝑢𝑛𝑐𝑡𝑖𝑜𝑛 𝑤𝑖𝑡ℎ 𝑟𝑒𝑠𝑝𝑒𝑐𝑡 𝑡𝑜 𝑣𝑎𝑟𝑖𝑎𝑏𝑙𝑒)
𝑦 ′ = 1/(3−2𝑥) × (−2)
𝒚 ′ = − 𝟐/(𝟑−𝟐𝒙)
THE PRODUCT AND QUOTIENT RULE
- Product rule: 𝑦 = 𝑓(𝑥) × 𝑔(𝑥)
𝒚 ′ = (𝒇(𝒙)𝒈(𝒙)) ′ = 𝒇(𝒙)𝒈 ′ (𝒙) + 𝒈(𝒙)𝒇 ′ (𝒙) - Quotient rule: 𝑦 = 𝑓(𝑥)/𝑔(𝑥)
𝒚′ = ( 𝒇(𝒙)/𝒈(𝒙) ) ′ = 𝒈(𝒙)𝒇 ′ (𝒙)−𝒇(𝒙)𝒈 ′(𝒙)/ (𝒈(𝒙))𝟐
Ex. Find the derivative of the following:
- y=(2x+1)sin x
- y=(1-3x2)ex
- y=xln x
- 𝑦 = 𝑥−2/𝑥2+1
- y = sinx/x
Solution:
a.) y=(2x+1)sin x
f(x)=2x+1
g(x)=sin x
f'(x)=2
g'(x)=cos x
Applying product rule:
y‘=f(x)g'(x)+g(x)f‘(x)
y‘=2x+1cos x +2sin x
b.) y=(1-3x2)ex
f(x)=1-x2
g(x)=ex
f'(x)=-6x
g'(x)=ex
Applying product rule:
y‘=f(x)g'(x)+g(x)f‘(x)
y‘=(1-3x2)ex-6xex
y‘=ex(1-3x2-6x)
c.) y=xlnx
f(x)=x
g(x)=ln x
f'(x)=1
g'(x)=1x
Applying product rule:
y‘=f(x)g'(x)+g(x)f‘(x)
y’= x(1/x) + lnx
y‘=1+ln x
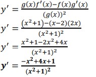
d.) y = (x-2)/(x2+1)
f(x)=x-2
g(x)=x2+1
f'(x)=1
g'(x)=2x
Applying quotient rule:
e.) y = sinx/x
f(x)=sin x
g(x)=x
f'(x)=cos x
g'(x)=1
Applying quotient rule:𝑦′ = 𝑔(𝑥)𝑓′(𝑥)−𝑓(𝑥)𝑔′(𝑥)/(𝑔(𝑥))2
𝒚 ′ = 𝒙 𝐜𝐨𝐬 𝒙−𝐬𝐢𝐧 𝒙/𝒙𝟐
KINEMATICS
Kinematics is the study of movement of objects.
- Displacement is defined to be the change in position of an object.
- Velocity is the rate of change of displacement, therefore to obtain velocity from displacement you differentiate.
- Acceleration is the rate of change of velocity. To obtain acceleration from velocity you differentiate.
Consider the following diagram:

Note that if s(t) is the displacement:
- Velocity 𝑣(𝑡) = 𝑑(𝑠)/𝑑𝑡
- Acceleration a(𝑡) = 𝑑(v)/𝑑𝑡 = 𝑣(𝑡) = 𝑑2(𝑠)/𝑑2𝑡
Ex. A particle moves along a straight line such that its position at any time t is given by s(t)=5t2–t4. Find expressions for the velocity and acceleration of the particle in terms of t. Find the times at which:
- the particle is at rest
- the particle is speeding up
- the particle is slowing down.
Solution: Given that s(t)=5t2-t4
𝑣(𝑡) = 𝑑(𝑠)/𝑑𝑡
𝑣(𝑡) = 𝑑(5𝑡2 − 𝑡 4 )/𝑑𝑡
𝑣(𝑡) = 5(2𝑡) − 4𝑡 3
𝒗(𝒕) = 𝟏𝟎𝒕 − 𝟒𝒕 3
at=10-12t2
The particle will be at rest when v(t)=0
10t-4t3=0
2t5-2t2=0
t=0, t = √5/2
The particle will be at rest at t=0 and t = √5/2
at=10-12t2
Acceleration will change sign when at=0
10-12t2=0
t = √5/2
Comparing the signs of velocity and acceleration:
Interval | Sign of v | Sign of a |
| 0 < t < √5/6 | + | + |
√5/6 < t < √5/2 | + | – |
t > √5/2 | – | – |
The particle is speeding up when 0 < t < √5/6 and t > √5/2
The particle is slowing down when √5/6 < t < √5/2
OPTIMIZATION
- One common application of calculus is calculating the minimum or maximum value of a function.
- For example, companies often want to minimize production costs or maximize revenue. In manufacturing, it is often desirable to minimize the amount of material used to package a product with a certain volume.
- In this section, we show how to set up these types of minimization and maximization problems and solve them by using the tools developed in this chapter.
- We have a particular quantity that we are interested in maximizing or minimizing. However, we also have some auxiliary condition that needs to be satisfied.
Ex. The owner of a dog park has 120 feet of fencing, and wants to create a rectangular area that is divided into three rectangular pens, as in the picture below.
Find the dimensions of the rectangle that would yield the largest possible total area of the three pens. What is this area?
x=the width of pen
y= the side of each of smaller rectangular pens.
3y= length of total pen.
Total fencing needed=6y+4x=120
This can also be written as y = (120-4x)/6 ①
The total area =x(3y)
A = 3x((120-4x)/6) (From ①)
A=60x-2x2
The maximum area will be when the derivative of area will be zero: 𝐴′ = 𝑑(60𝑥 − 2𝑥2 )/𝑑𝑥
A‘=60-4x=0
4x=60
x=15 Feet
Putting the value of x in ①
y = ((120 – 4(15))/6
y=10 Feet
The dimensions of the rectangle are x=15 Feet and 3y=30 Feet
Area =A=x(3y)
A=15(30)
A=450 Square feet.
Ex. A manufacturer needs to make a cylindrical can that will hold 1.5 litres of liquid. Determine the dimensions of the can that will minimize the amount of material used in its construction.
We know that, for a cylinder:
Area =A=2πrh+2πr2
Volume V=πr2h
The volume here is fixed. V=1.5 litres or V=1500cm3
1500=πr2h
h = 1500/πr2
Putting the value of h in area:
A = 2πr(1500/πr2) + 2πr2
a = 3000/r + 2πr2
Differentiating the area and equating to zero, to minimize it.
Now, A’=0
r = 6.2035
We only have a single critical point to deal with here and notice that 6.2035 is the only value for which the derivative will be zero and hence the only place that the derivative may change sign.
The absolute minimum value of the area must occur at r=6.2035
Now, ℎ = 1500/𝜋𝑟2
ℎ = 1500/𝜋(6.2035)2
Therefore, if the manufacturer makes the can with a radius of 6.2035 cm and a height of 12.4070 cm the least amount of material will be used to make the can.
Ex. An apartment complex has 250 apartments to rent. If they rent x apartments then their monthly profit, in dollars, is given by, Px=-8x2+3200x-80000
How many apartments should they rent in order to maximize their profit?
Px=-8x2+3200x-80000
To maximize this profit, we will differentiate and equate it to zero. We need to make sure the value of x is less than or equal to 250.
𝑃 ′ (𝑥) = 𝑑(−8𝑥2 + 3200𝑥 − 80000)/𝑑𝑥
𝑃 ′ (𝑥) = −8(2𝑥) + 3200
𝑃 ′ (𝑥) = −16𝑥 + 3200
Now, P‘(x)=0
-16x+3200=0
x=320016
x=200
Since the profit function is continuous and we have an interval with finite bounds we can find the maximum value by simply plugging in the only critical point that we have and the end points of the range.
P(0)=-80,000
P(200)=240,000
P(250)=220,000
So, it looks like they will generate the most profit if they only rent out 200 of the apartments instead of all 250 of them.


